Предмет: Математика,
автор: enth049n5h0
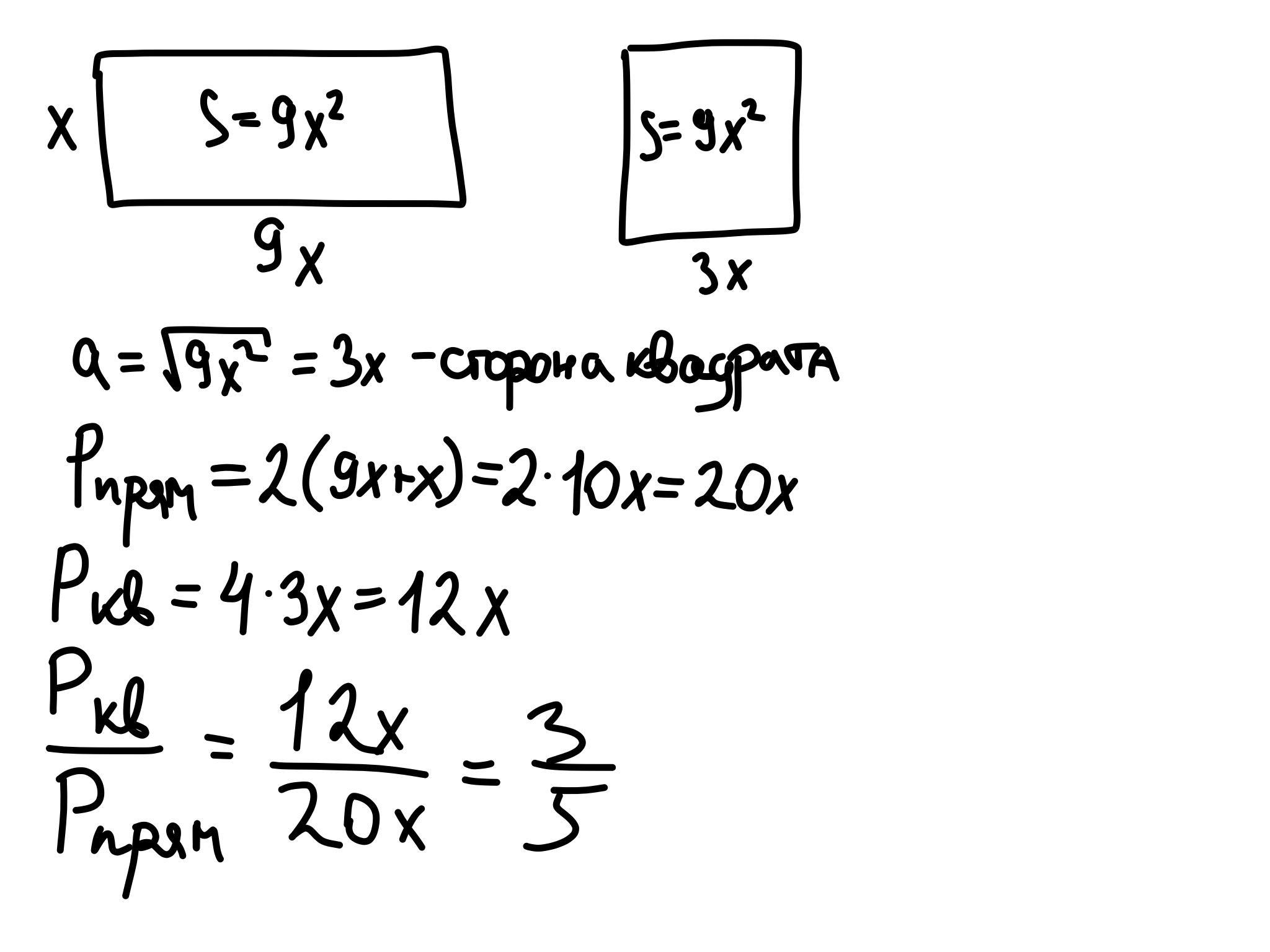
Ширина прямоугольника в 9 раза меньше её длины, а её площадь равна площади квадрата. Найдите отношение периметров квадрата и прямоугольника.
Ответы
Автор ответа:
5
Ответ: 3:5
Пошаговое объяснение: во вложении
Приложения:
Похожие вопросы
Предмет: Алгебра,
автор: erdnigoriaiev98
Предмет: Математика,
автор: gxbfdbtd
Предмет: Математика,
автор: Аноним
Предмет: Українська мова,
автор: roma7415