Предмет: Алгебра, автор: Некит936

Надо решить как в примере) помогите пожалуйста! Срочно!

Приложения:

Ответы

Автор ответа: treasury8352
1

Ответ:

решение все тут

Приложения:
Автор ответа: Zombynella
1

Ответ:

В решении.

Объяснение:

Неполные квадратные уравнения:

1) 4х² - 8х = 0

4х(х - 2) = 0

4х = 0                           х - 2 = 0

х = 0 : 4                        х = 0 + 2

х₁ = 0;                           х₂ = 2;

2) х² - 5х = 0

х(х - 5) = 0                   х - 5 = 0

х₁ = 0;                          х₂ = 5;

3) 6х + х² = 0

х(6 + х) = 0                 6 + х = 0

х₁ = 0;                         х = 0 - 6

                                   х₂ = -6;

4) 3х² + 2х = 0

3х(х + 2/3) = 0

3х = 0                         х + 2/3 = 0

х = 0 : 3                      х = 0 - 2/3

х₁ = 0;                         х₂ = -2/3.

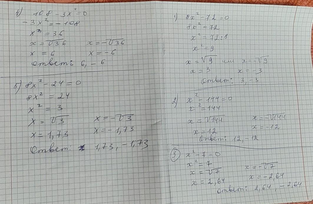
1) 8х² - 72 = 0

8х² = 72

х² = 72/8

х² = 9

х = ±√9

х₁ = -3;       х₂ = 3;

2) х² - 144 = 0

х² = 144

х = ±√144

х₁ = -12;      х₂ = 12;

3) х² - 7 = 0

х² = 7

х = ±√7

х₁ = -√7;        х₂ = √7;

4) 108 - 3х² = 0

-3х² = -108

3х² = 108

х² = 108/3

х² = 36

х =  ±√36

х₁ = -6;          х₂ = 6;

5) 8х² - 24 = 0

8х² = 24

х² = 24/8

х² = 3

х =  ±√3

х₁ =  -√3;         х₂ = √3.

Похожие вопросы
Предмет: Русский язык, автор: allonGE
Надо отметить подлежащее и сказуемое во всех предложениях.

Мне нравится встречать весну в сельской местности. Именно здесь её можно встретить по-настоящему. Возле сараев и огромных поленниц звенит вода в ручейках. Неугомонные грачи трудятся на своих гнёздах. Кому-то нужно поправить домик, а кому-то заново строиться. Воздух напоён сладким ароматом свежей древесины и влажной земли, освободившейся от мерзлоты.
Хлопнув дверью, я выскакиваю рано утром на улицу. Дмитрий Андреевич уже сидит на маленькой скамейке и с наслаждением колет дрова. Колет он их по-особому, чтобы дерево лопнуло аккуратно, ровно. Повертел чурбан, взял колун, знавший не один десяток рук, и щёлкнул. Чурбан издал приглушенный вздох и треснул, поддавшись умелой силе. Дед работает по-своему, легко, живо. Он обводит глазами широкую поленницу, едва обнаруживая в ней пустое место.
Расставаясь со стариком, я окинул взглядом поленницу. Сколько же надо иметь терпения, любви к труду, чтобы ровная кладь радовала прохожих!