Предмет: Математика,
автор: Mjdip
Помогите решить!!!!!!!!
Приложения:
Ответы
Автор ответа:
1
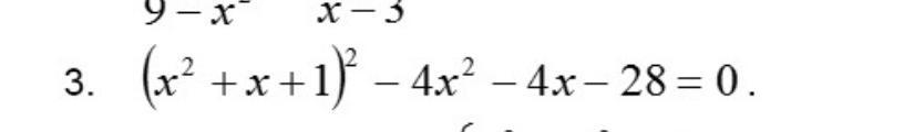
Ответ:
(x²+x+1)²-4x²-4x-28=0
x⁴+x²+1-4x²-4x-28=0
x⁴-3x²-4x-27=0
x²-3x-31=0
Похожие вопросы
Предмет: Химия,
автор: Natasa111
Предмет: Химия,
автор: Natasa111
Предмет: Математика,
автор: zagidovasaidat
Предмет: Физика,
автор: nootbook78p41szt