Предмет: Математика,
автор: anastasiakrasnolucka
помогите решить по матиматике
Приложения:
Ответы
Автор ответа:
0
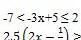
Ответ:
-7-5<-3х≤2-5
-12<-3х≤-3 делим все это на -3
4>х≥1 когда делим на отрицательное число,знаки меняются
значит ответ будет 1≤х<4 или [1;4)
Похожие вопросы
Предмет: Математика,
автор: Весяльчак
Предмет: Геометрия,
автор: aleksandrastor
Предмет: Алгебра,
автор: Mifet
Предмет: История,
автор: tatanaharitonov
Предмет: История,
автор: kirill945