Предмет: Алгебра, автор: stalker3d33333

Разложите двучлен на множители
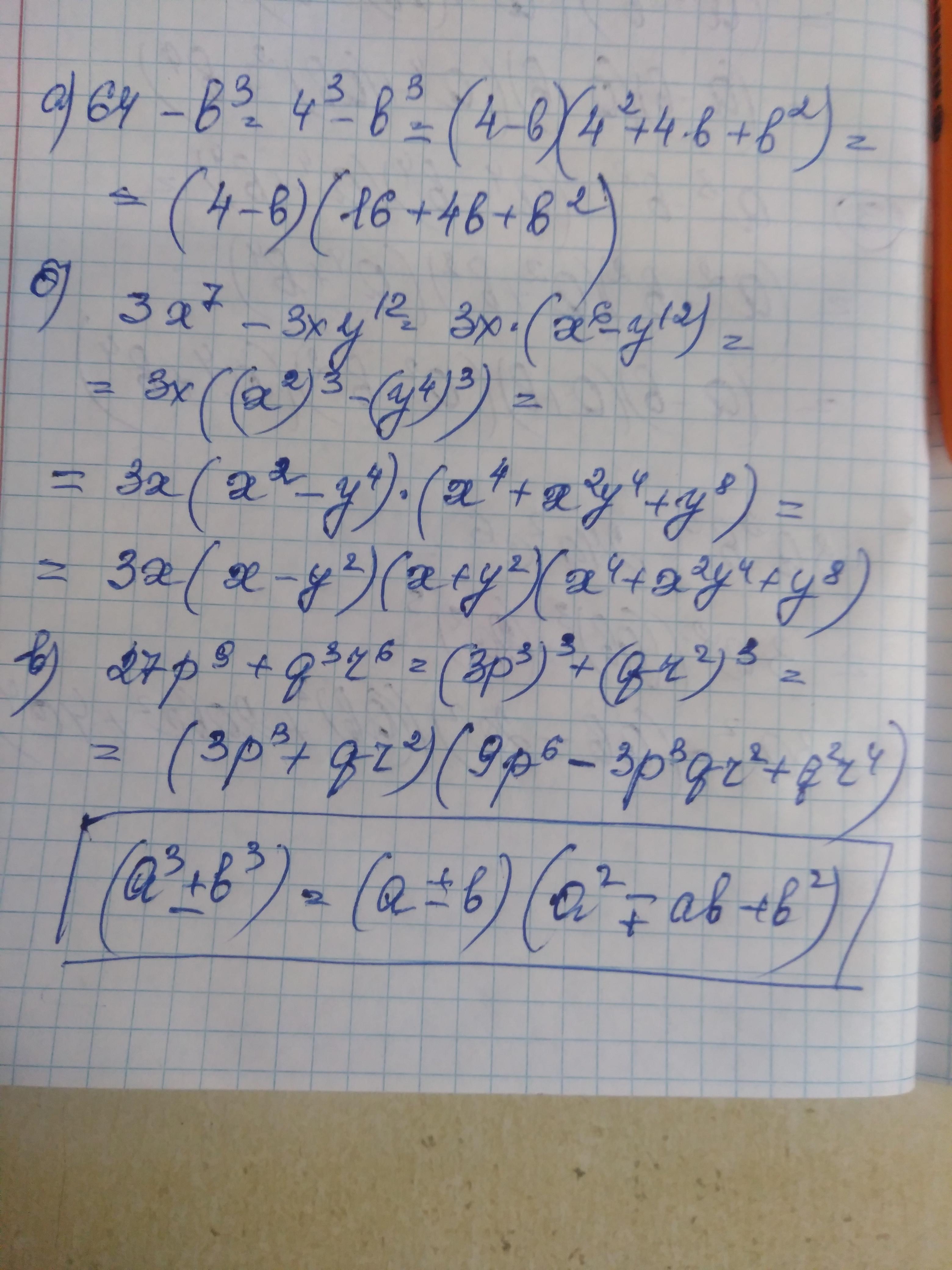
1)64-b^3=(4)^3-b^3
2)3x^7-3xy^12
3)27p^9+q^3r^6
Даю 60 баллов!!!


stalker3d33333: я вставил на этот вопрос 60 баллов а для вас 30
ajmatovaaruzan: аааааа
stalker3d33333: так ты можешь решить это или нет
ajmatovaaruzan: могу
ajmatovaaruzan: я решаю
stalker3d33333: окей

Ответы

Автор ответа: MizoriesKun
1

Смотри....................................

Приложения:

stalker3d33333: спасибо кста ты забыла скобку на 1 примере поставить в конце
stalker3d33333: а так всё правильно
Похожие вопросы
Предмет: Геометрия, автор: sdf21
Предмет: Немецкий язык, автор: maksimkolesnik