Предмет: Алгебра,
автор: Dany228v
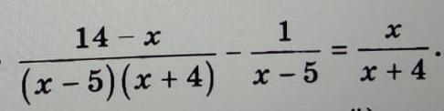
Решите пример, найдите корень уравнения (если он 1) или разность корней (если их 2)
Приложения:
Ответы
Автор ответа:
1
Ответ:ответ на фото
Объяснение
Приложения:
Похожие вопросы
Предмет: Химия,
автор: queen888
Предмет: Алгебра,
автор: cowboy63
Предмет: Математика,
автор: velikajasj
Предмет: Химия,
автор: sipnovaksenia
Предмет: Английский язык,
автор: Dasha111551