Предмет: Математика,
автор: Аноним
/952 пжпжпжпжпжпжпжпжпжппжпжжп
Приложения:
Ответы
Автор ответа:
4
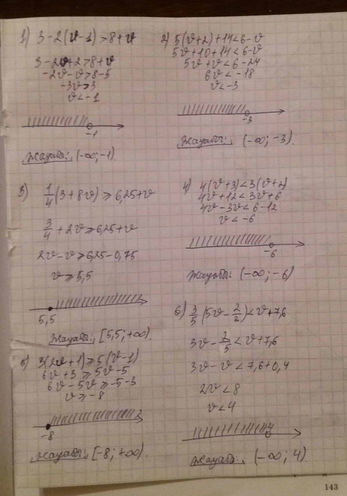
Пошаговое объяснение:
все на фоте, отвечаю на 100% правильно
Приложения:
ademiesetova16:
не за что!
что почему?
ааа
Похожие вопросы
Предмет: Математика,
автор: poliks07082004
Предмет: Математика,
автор: леруська191
Предмет: Русский язык,
автор: gfvfsfgb
Предмет: Химия,
автор: Аноним
Предмет: Английский язык,
автор: lysenkocz25