Предмет: Алгебра,
автор: dimamaxpro6
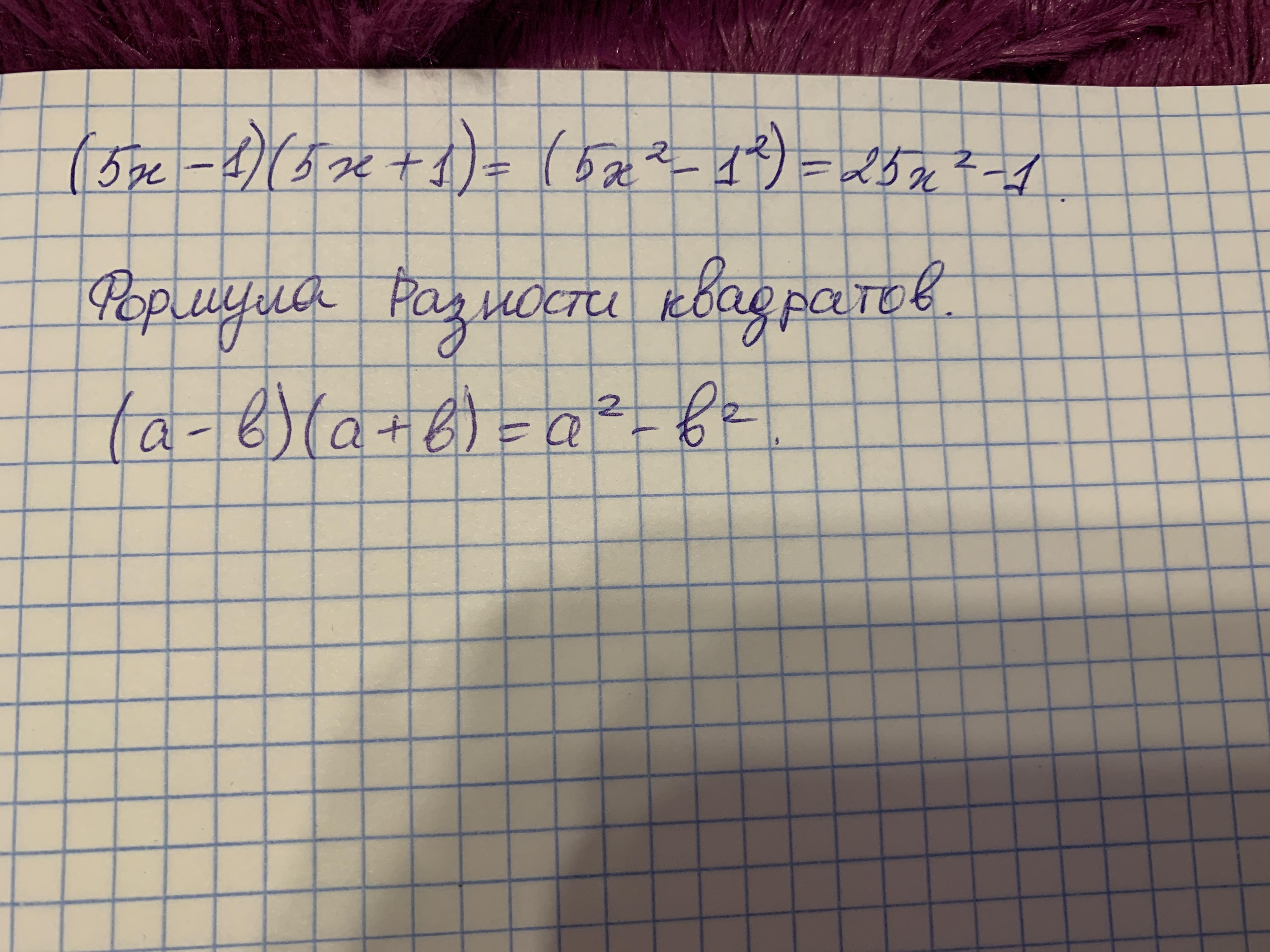
(5x-1)(5x+1). ПОМОГИТЕ ПОЖАЛУСТА
dimamaxpro6:
Я просто проверил правельно или нет.
Ответы
Автор ответа:
1
Ответ:
Объяснение:
(5x-1)(5x+1)=25x²-1
Автор ответа:
1
Ответ:
Формула разности квадратов. На фото все пояснила
Объяснение:
Приложения:
Похожие вопросы
Предмет: Алгебра,
автор: hast88
Предмет: Алгебра,
автор: Ewwas
Предмет: Химия,
автор: petyapodkolzin
Предмет: Математика,
автор: 1Хорошистка1
Предмет: История,
автор: макося5