Предмет: Математика,
автор: yanikpts
помогите пожалуйста
Приложения:
miki68:
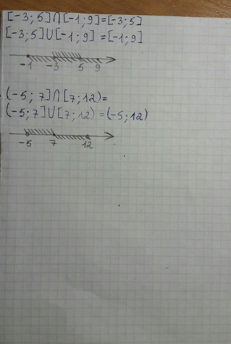
верхняя строчка [-1;5] , [7] вторая строчка [-3;9] , (-5;12)
спасибо
Ответы
Автор ответа:
1
Ответ:
Как то так, удачи, второго пересечения нету, ёлочки не пересекаются.
Приложения:
Похожие вопросы
Предмет: Биология,
автор: 79206017201
Предмет: Математика,
автор: Moking
Предмет: Математика,
автор: Farid97
Предмет: Математика,
автор: Ulya83