Предмет: Алгебра,
автор: iovich2012
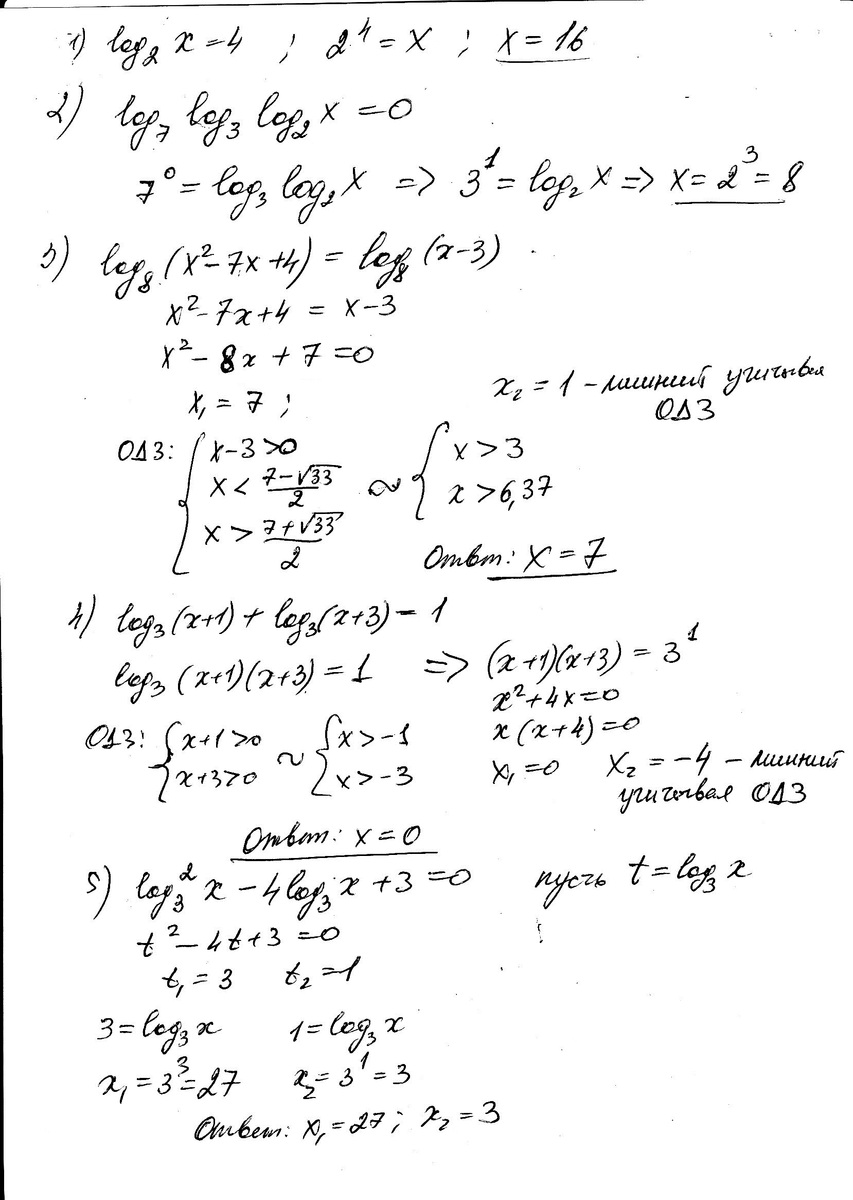
1) log(2)x=4
2) log(7) log(3) log(2)x=0
3) log(8) x^2-7x+4= log (8) x-3
4) log (3) (x+1) + log(3) (x+3)=1
5) log ^2 (3) x - 4 log (3) x +3 =0
6) lg^2 x - lg x^2 -3 =0
Ответы
Автор ответа:
0
Решение ниже в приложении ===========
6)
t1 = 3 ; t2 = -1


6)
t1 = 3 ; t2 = -1
Приложения:
Похожие вопросы
Предмет: Математика,
автор: AZIKHVH
Предмет: Английский язык,
автор: ktotok697
Предмет: Математика,
автор: Аноним
Предмет: Алгебра,
автор: VVS28
Предмет: Химия,
автор: 36360096