Предмет: Алгебра, автор: alina00833

Помогите пожалуйста решить). Заранее спасибо.

Приложения:

Ответы

Автор ответа: NNNLLL54
1

Ответ:      

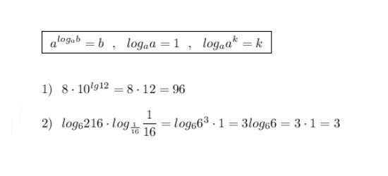
\boxed{\ a^{log_ab}=b\ \ ,\ \ log_{a}a=1\ \ ,\ \ log_{a}a^{k}=k\ }\\\\\\1)\ \ 8\cdot 10^{lg12}=8\cdot 12=96\\\\2)\ \ log_6216\cdot log_{\frac{1}{16}}\dfrac{1}{16}=log_66^3\cdot 1=3log_66=3\cdot 1=3

Приложения:
Похожие вопросы
Предмет: История, автор: DaniilVeganov