Предмет: Алгебра,
автор: nofriend393
Разложить на множители разность квадратов c4−d16.
Выбери правильный ответ:
(c4−d16)⋅(c4+d16)
(c2−d8)⋅(c2+d8)
c4−2c2d8+d16
c4+2c2d8+d16
Ответы
Автор ответа:
0
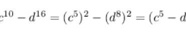
Ответ дан на фотографии:
Приложения:
parus77:
в условии с в 4 степени!!!!!
Автор ответа:
1
Ответ:
отв.во 2 строчке
Объяснение: (a-b)(a+b)= a²-b²
с⁴-d¹⁶=(c²)²- (d⁸)²=(c²-d⁸)(c²+d⁸)
Похожие вопросы
Предмет: Математика,
автор: nadejfomina201
Предмет: Физика,
автор: vistas1998
Предмет: Математика,
автор: Нарана1
Предмет: Окружающий мир,
автор: котиккей
Предмет: История,
автор: BikBon