Предмет: Алгебра,
автор: lesha6262
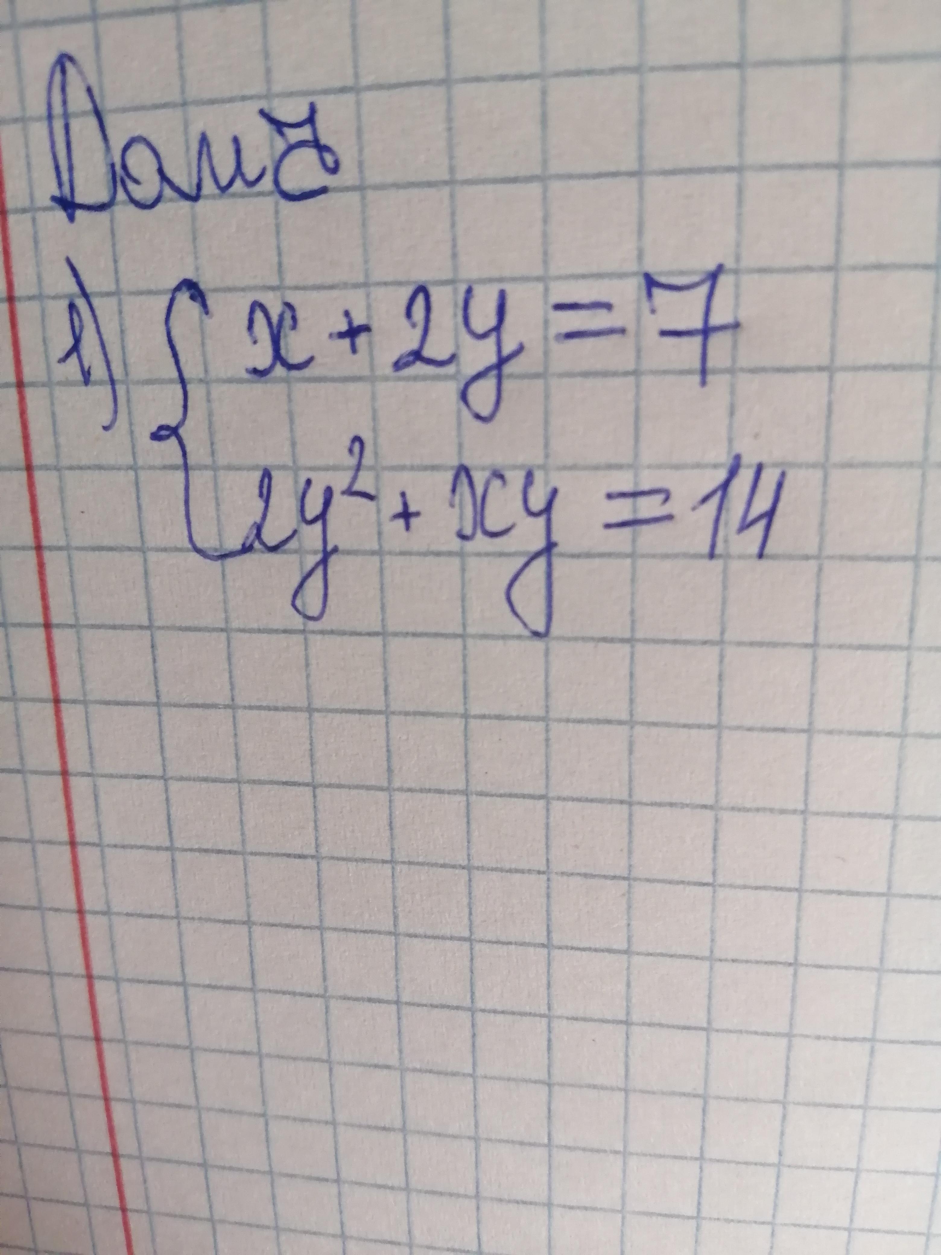
сделайте пожалуйста с полным оформлением
Приложения:
Ответы
Автор ответа:
1
Ответ:
Решаем с помощью замены
Объяснение:
Приложения:
Похожие вопросы
Предмет: Математика,
автор: TurboMedVed
Предмет: Алгебра,
автор: dimas38
Предмет: Геометрия,
автор: kukel77
Предмет: Геометрия,
автор: Livki11234
Предмет: Русский язык,
автор: katrukvaleriya