Предмет: Алгебра, автор: Аноним

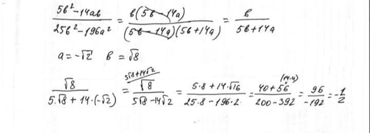
1. Подайте вираз (7а + 5b)? у вигляді многочлена.
А. 7a2+ 35ab + 5b2. В. 49a2+ 70ab + 25b2.
Б. 49а + 35ab + 25b2. Г. 7a2+ 70ab + 5b2.​

Ответы

Автор ответа: freefire51
0

Объяснение:

если не правильно то сорри

Приложения:
Похожие вопросы
Предмет: Русский язык, автор: goharmelkonyan
Как Вы понимаете значение слова ВЗАИМОВЫРУЧКА? Сформулируйте и прокомментируйте данное Вами определение. Напишите сочинение-рассуждение на тему «Что такое взаимовыручка», взяв в качестве тезиса данное Вами определение. Аргументируя свой тезис, приведите 2 (два) примера-аргумента, подтверждающих Ваши рассуждения: один пример-аргумент приведите из прочитанного текста, а второй – из Вашего жизненного опыта.


(1)Началась эта му�а в далёкие годы, в классе пятом или шестом.

(2)Глебов жил в своём двухэтажном подворье рядом с серым, громадным, наподобие целого города или даже целой страны, домом в тысячу окон. (3)Серая громада висла над переулочком, по утрам за�тила солнце, а вечерами сверху летели звуки музыки. (4)Там, в поднебесных этажах, шла, казалось, совсем иная жизнь, чем внизу. (5)И у Глебова с малолетства появилось жженье в душе: то ли зависть, то ли ещё что.

(6)Мать Глебова работала билетёршей в кинотеатре. (7)И вот служба её в кинотеатре – захудаленьком, в одном из замоскворецких переулков – составляла предмет немалой гордости Глебова и отличала его величайшей льготой: на любой фильм мог пройти без билета. (8)А иногда в дневные часы, когда мало зрителей, мог даже товарища провести, а то и двух.

(9)Эта привилегия была основой могущества Глебова в классе. (10)Он пользовался ею расчётливо и умно� приглашал мальчиков, в дружбе которых был заинтересован, от которых чего-либо ждал взамен, иных долго кормил обещаниями, прежде чем оказывал благодеяние, а некоторых мерзавцев навсегда лишал своей милости. (11)Продолжалась глебовская власть – ну не власть, а, скажем, авторитет – и оставалась непоколебленной, пока не возник Лёвка Шулепа. (12)Первые дни он держался надменно, поглядывал своими голубенькими глазами на всех сонно и презрительно, ни с кем не заводил разговор и сел за одну парту с девчонкой. (13)Его решили проучить, вернее, унизить. (14)А ещё точнее – опозорить. (15)Глебов горячо подговаривал расправиться с Шулепой, который ему не нравился, но в последний миг решил не участвовать в расправе.

(16)Мальчишки – их было человек пять – зазвали Лёвку после уроков на задний двор, окружили, о чём-то заспорили, и вдруг Медведь, главный силач класса, охватил Лёвку за шею, опрокинул его рывком навзничь, остальные с криками «ого-го!» набросились, Лёвка сопротивлялся, бил ногами, но его, конечно, смяли, скрутили, кто-то сел ему на грудь.
(17)И вдруг раздался громкий треск, будто взорвалась хлопушка или лопнула автомобильная шина. (18)Тут все пятеро кинулись в стороны, Лёвка поднялся на ноги, а в руке он держал пугач, который стрелял особыми пистонами. (19)Шулепа вышел из этой истории победителем, а нападавшие были посрамлены и впоследствии всячески старались помириться и подружиться с ним.

(20)Так Лёвка из человека, которого собирались на весь свет опозорить, превратился в героя. (21)И с этого, наверное, времени зародилась у Глебова та тяжесть на дне души… (22)И нет несчастнее людей, поражённых завистью. (23)И не было сокрушительней несчастья, чем то, что случилось с Глебовым в миг его, казалось бы, высшего торжества.

(По Ю. Трифонову)*

* Трифонов Юрий Валентинович (1925–1981) – русский советский писатель, мастер «городской» прозы.