Предмет: Алгебра,
автор: buldakovaviktoria914
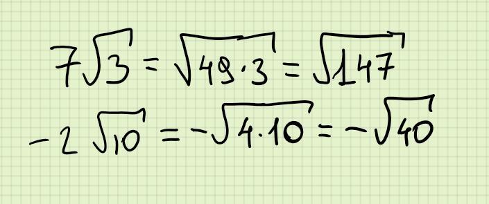
Внеси множитель под знак корня:


Ответы
Автор ответа:
1
Ответ:
На скрине
Объяснение:
Приложения:
Похожие вопросы
Предмет: Математика,
автор: Аноним
Предмет: Математика,
автор: Rararira
Предмет: Алгебра,
автор: Liliaogann
Предмет: Русский язык,
автор: LordNoName
Предмет: Математика,
автор: EgotinSmey