Предмет: Химия,
автор: Аноним
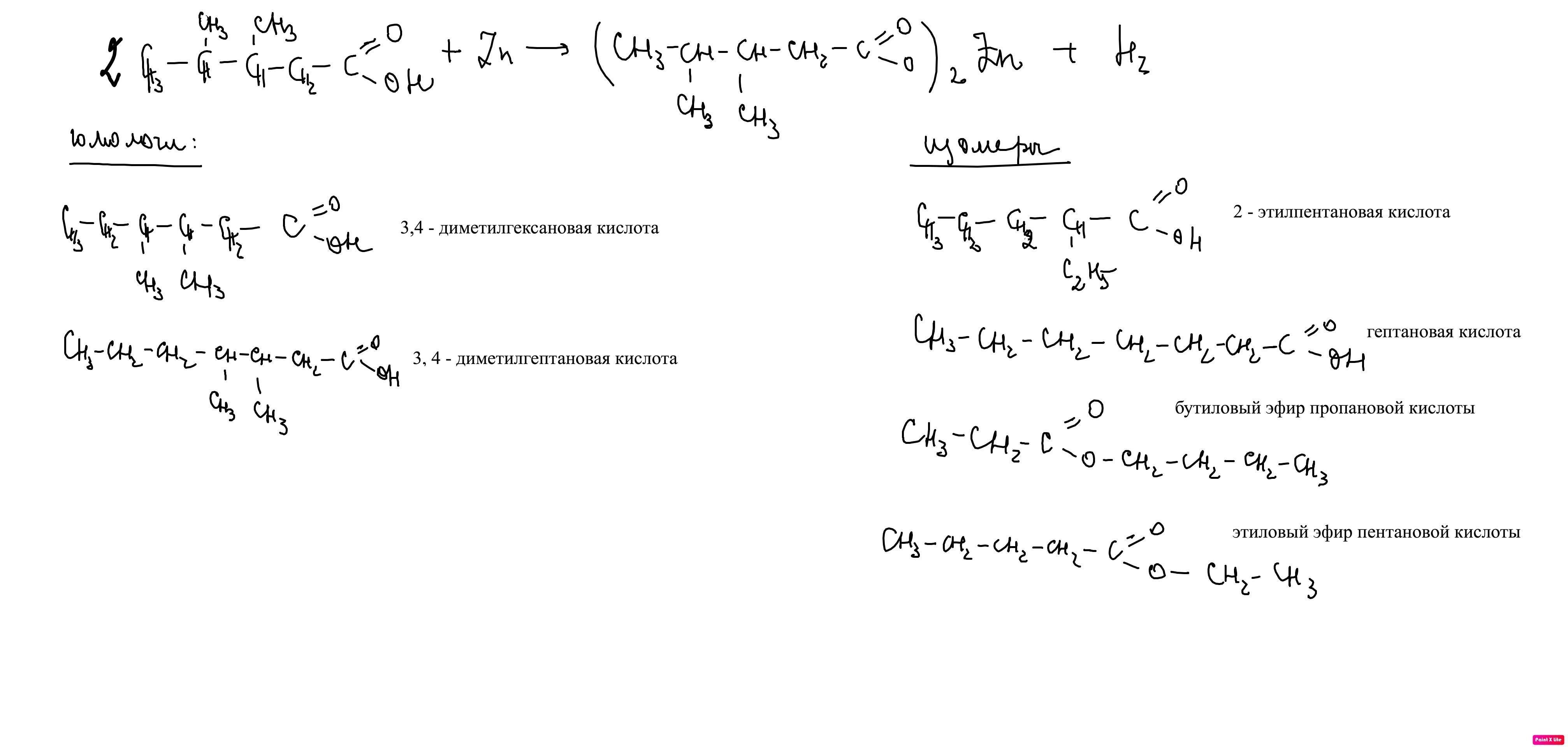
Помогите пожалуйста с химией пожалуйста!!!!!!! Продолжение ещё 2 задания у меня в профиле тоже, помогите пожалуйста очень вас прошу
Приложения:
mirvahidovmirabbos:
нет, 1
там легко в принципе
Ответы
Автор ответа:
1
Ответ:
ответ в файле
Объяснение:
Приложения:
Похожие вопросы
Предмет: Математика,
автор: vasiljevakrist
Предмет: Математика,
автор: Zarzand
Предмет: Физика,
автор: pushin98
Предмет: Английский язык,
автор: умник1702
Предмет: Қазақ тiлi,
автор: butterfly041