Предмет: Алгебра,
автор: lilyfedorova2
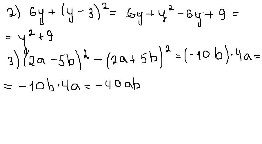
Упростите выражение
Смотрите фото
Приложения:
Ответы
Автор ответа:
1
Ответ:
Надеюсь,что понятно)
Приложения:
MizoriesKun:
почему не все ??
Похожие вопросы
Предмет: Русский язык,
автор: natalimaslenko
Предмет: Обществознание,
автор: lyubov4
Предмет: Алгебра,
автор: roomka003
Предмет: Литература,
автор: gerica100
Предмет: Геометрия,
автор: messageman1