Предмет: Физика,
автор: yusufxojayu12
Мимо вас пролетела ракета со скоростью 0,6 с. Вам показалось, что ее длина 60 м. Реальная длина ракеты равна
Ответы
Автор ответа:
1
Ответ:
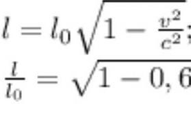
По формуле для лоренцева сокращения длины:
Стержень будет выглядеть сжатым до 0,8 от первоначальной длины.
Объяснение:
где пробел это фунция)
Приложения:
Похожие вопросы
Предмет: Физика,
автор: ChesterbrickDadada
Предмет: География,
автор: KrestinaDiaries
Предмет: Алгебра,
автор: Аноним
Предмет: Математика,
автор: Никита56903
Предмет: Українська мова,
автор: gavnozopa