Предмет: Алгебра,
автор: ivansemyonov07
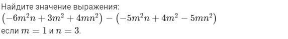
Help me!!!!!!!!!!!!!!!
Приложения:
Ответы
Автор ответа:
1
Ответ:
Смотри решение
Объяснение:
Решение на фотографии
Приложения:
Похожие вопросы
Предмет: Математика,
автор: виктория8921
Предмет: Обществознание,
автор: kurakina2015668
Предмет: Русский язык,
автор: Ekaterina7052730
Предмет: Русский язык,
автор: ShoomKuv
Предмет: Химия,
автор: emin745