Предмет: Алгебра,
автор: Аноним
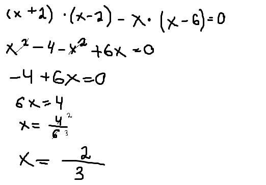
(х+2) (х-2) -х(х-6) =0 решите уравненеие
Ответы
Автор ответа:
7
Ответ:
х (квадрат) - 4 - х(квадрат) +6х=0
6х=4
х=2/3
Объяснение:
.
nowgorodtsevv:
ты его в задании записал?
как это?
запишишь помогу
*запишешь
Автор ответа:
4
Ответ:
решение на рисунке
Приложения:
Похожие вопросы
Предмет: Математика,
автор: chumanova02
Предмет: География,
автор: vladik89123
Предмет: Математика,
автор: Аноним
Предмет: Математика,
автор: nasty2204
Предмет: Английский язык,
автор: Svetka131010