Предмет: Алгебра, автор: rrop2284

Помогите пожалуйста решить задания по алгебре.​
12-ать баллов даю хотя-бы 1-ин номер из 3-ёх

Приложения:

olyakungurtzeva: сейчас 2 задания напишу
rrop2284: спасибо тебе огромное
rrop2284: ❤️

Ответы

Автор ответа: 27anasa
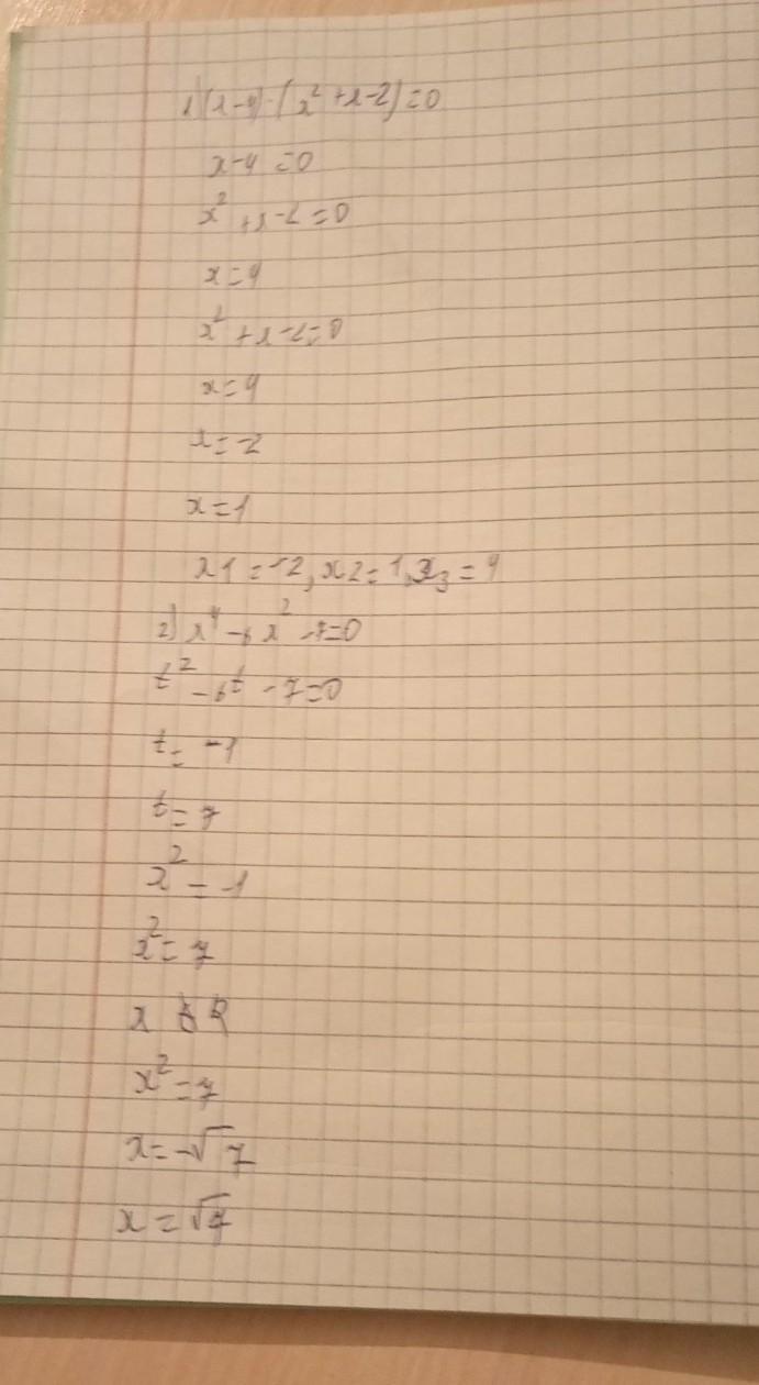
2

второе фото это относится к последниму

Приложения:

rrop2284: спасибо большое ❤️
27anasa: не за что
Автор ответа: olyakungurtzeva
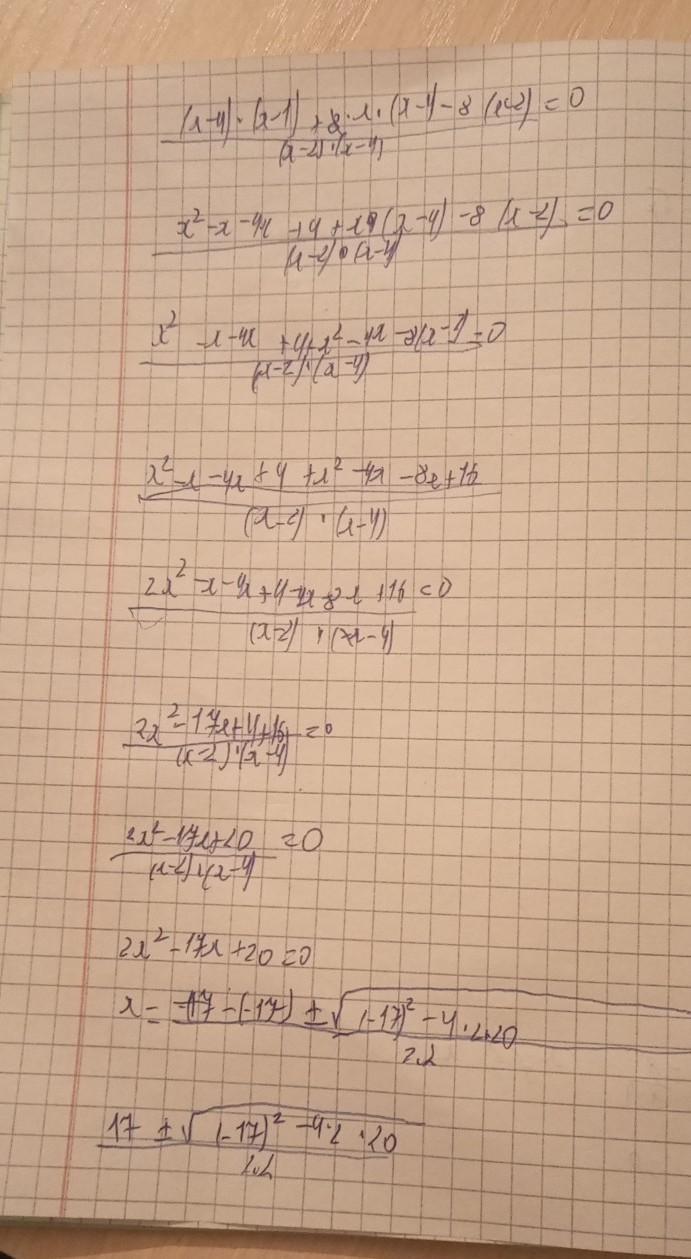
1

Ответ:

на фото будет

Объяснение:

братан там 2 задания в 1 последнение не ришил

сорян

можешь пж если ге сложео сделать лучший ответ

Приложения:

rrop2284: сорян но тот чел был быстрее ( и все решил в 1-ом номере
rrop2284: ссори(
olyakungurtzeva: ок
Похожие вопросы
Предмет: Алгебра, автор: kipf02
Предмет: Литература, автор: 200484