Предмет: Алгебра,
автор: lukashevaviktoryacet
СРОЧНО!
ПОМОГИТЕ ПОЖАЛУЙСТА
Приложения:
lukashevaviktoryacet:
Пожно без решения!
Ответы
Автор ответа:
1
Ответ:
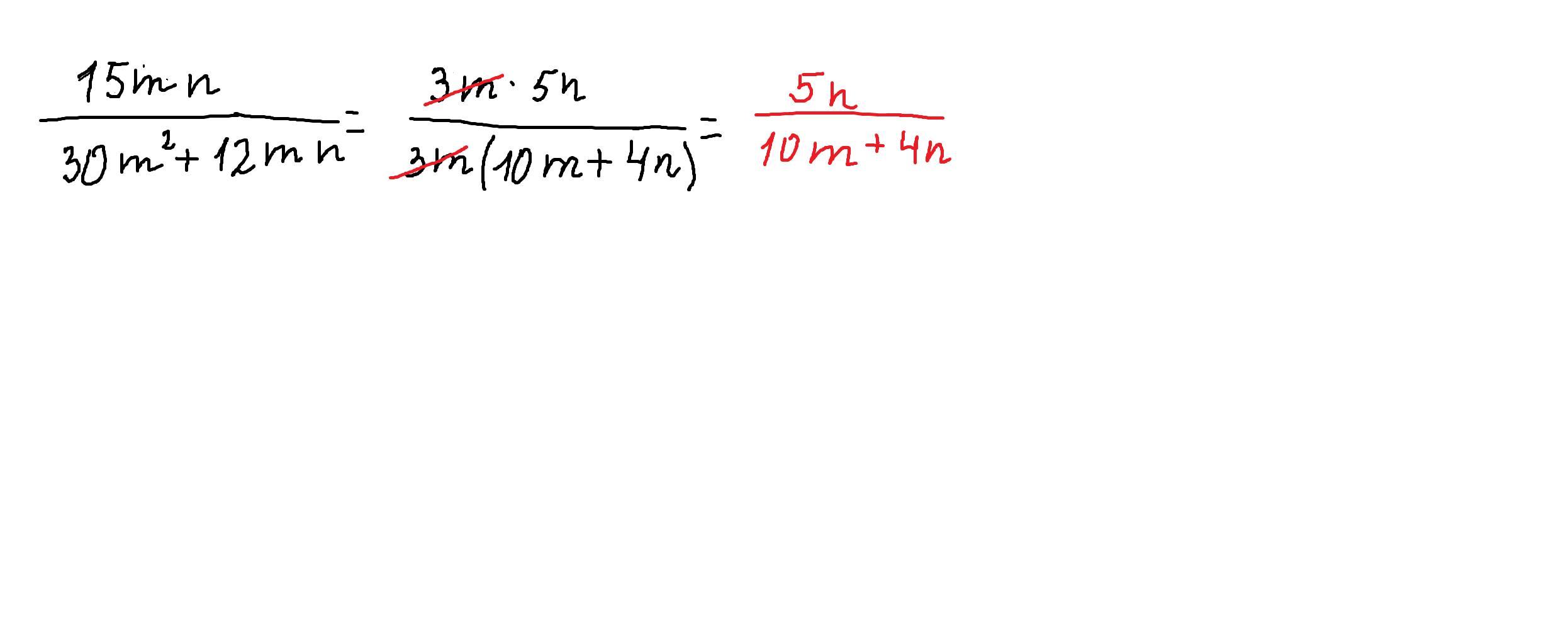
15 mn / 3m(10m+4n) = 5n / 10m+4n
Автор ответа:
0
Ответ:
Объяснение:
решение внизу
Приложения:
Похожие вопросы
Предмет: Математика,
автор: FikaLol
Предмет: Русский язык,
автор: Agarza10
Предмет: География,
автор: Zlatakrasivska
Предмет: Русский язык,
автор: никто292