Предмет: Математика,
автор: aaaavvvvvvv237
2. Реши уравнения:
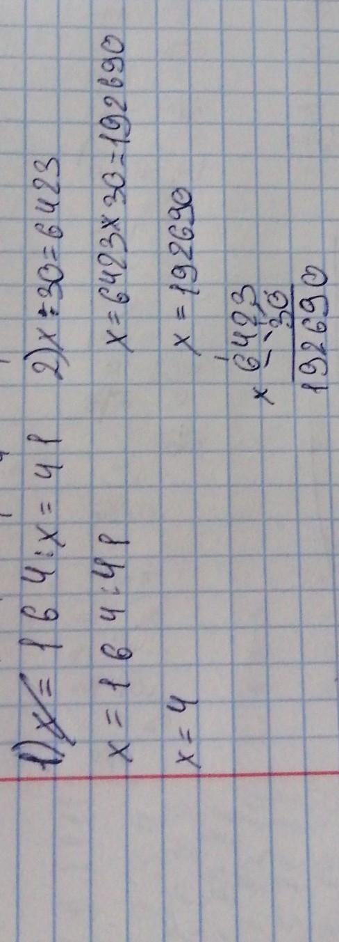
164 : х = 345 – 304
х: 30 = 4085 +2365 пожалуйста помогите
Ответы
Автор ответа:
2
Ответ:
Сейчас прикреплю вложение с ответом на Ваш вопрос, ожидайте...
Приложения:
Автор ответа:
1
164 : x = 345-304
164 : x = 41
x = 164:41
x=4
164 : 4 = 346-304
41=41
Пошаговое объяснение:
nastyaanastasiya49:
4085+2365
АААААА
Я ПЕРЕПУТАЛА НЕМНОЖЕЧКО : )
Похожие вопросы
Предмет: Геометрия,
автор: avk74
Предмет: Биология,
автор: Ronny666
Предмет: Алгебра,
автор: Lnikol
Предмет: Українська мова,
автор: jddjjdiifroskfjjftj
Предмет: Английский язык,
автор: ваня1340