Предмет: Алгебра,
автор: Аноним
Даю сто баллов
Ответьте что угодно

Просто решите через дискриминант
Ответы
Автор ответа:
1
Ответ:
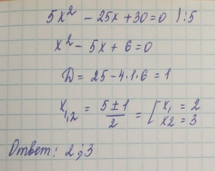
Решение прикреплено. Надеюсь, что всё понятно.
Приложения:
gavgav3445:
а у вас там 5^2 или 5х^2?
Это приложение ставит только половину от указанных баллов.
ну тогда там должно быть 5х^2, а не 5^2
Спасибо за баллы)
Автор ответа:
1
извени что баллы украл... спасибо тебе!
Похожие вопросы
Предмет: Обществознание,
автор: kharinasveta
Предмет: Русский язык,
автор: dozur
Предмет: Математика,
автор: Olesyaplahotni
Предмет: Геометрия,
автор: Tsar11111