Предмет: Математика,
автор: ekaterina271204
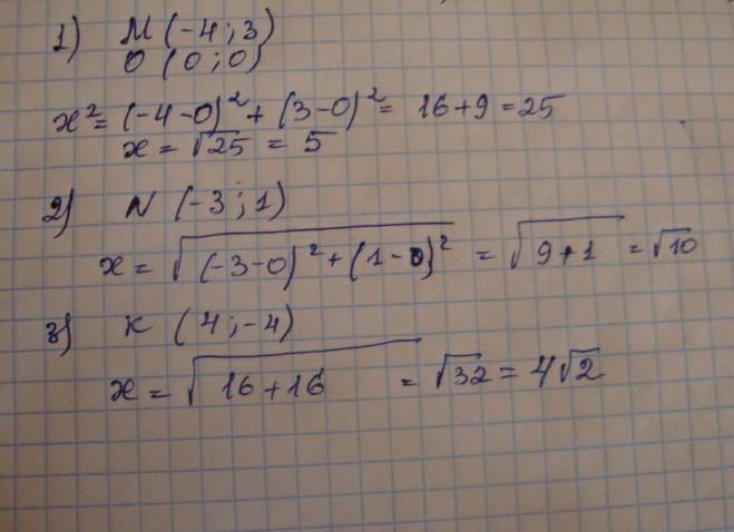
РЕБЯЯЯЯЯЯТ ПОМОГИТЕ ПОЖАЛУЙСТА 80 БАЛЛОВ ДАМ
Упражнения
1) Точка М – середина отрезка АВ. Найдите координаты: а) точки М, если А
(6;0;3), В (-2;8;4); б) точки В, если А (4;-4;3), М (-2;0;5).
2) Найдите расстояние между точками А (8; 6; 1) и В (0; -3; 4).
3) Найдите скалярное произведение векторов ⃗ (-5; 6;0) и ⃗⃗ (-4; -2; 8).
Ответы
Автор ответа:
1
қате болса сори ¯\_(ツ)_/¯
Приложения:
Похожие вопросы
Предмет: Геометрия,
автор: махамбит
Предмет: Геометрия,
автор: rebrovavlada
Предмет: Алгебра,
автор: Аноним
Предмет: Физика,
автор: kirillfilippov7
Предмет: Українська мова,
автор: barinova83