Предмет: Математика,
автор: Ponxik
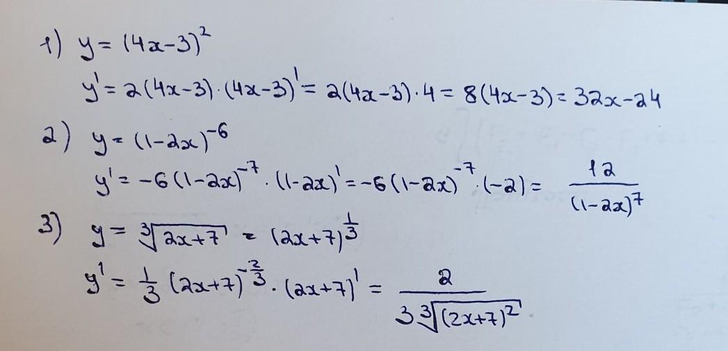
Найти производную функции:
Приложения:
Ответы
Автор ответа:
1
Ответ:
решение на фотографии.
Приложения:
Похожие вопросы
Предмет: Геометрия,
автор: mashenkagerask
Предмет: Биология,
автор: Diana211100
Предмет: Математика,
автор: IlizaDulittl
Предмет: Физика,
автор: СашаЮникон
Предмет: Русский язык,
автор: ProstoYa69