Предмет: Алгебра,
автор: frikeil119
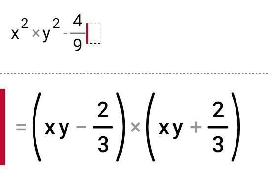
3. x²y²-4/9=(/-дробная черта)
4. 0,01с²-d⁸=
5. -1+49a⁴b⁸=
6. (3b-5)²-49=
7. a⁴-(a-7)²=
(помогите решить пж даю 70)
Ответы
Автор ответа:
0
ВОТ ОТВЕТ плииииииз лайк
Приложения:
Похожие вопросы
Предмет: География,
автор: Серый18200102
Предмет: Английский язык,
автор: tanika4567
Предмет: Математика,
автор: dilyanabi1
Предмет: Русский язык,
автор: LeoKrossi1