Предмет: Алгебра, автор: golubcov20062006

ПОМОООООГОИИИИИТЕЕЕЕЕЕК ПОЖАЛУЙСТА УМОЛЯЮ ОЧЕНЬ СРОЧНО !!!!
ДАЮ 50 БАЛЛОВ!!

Приложения:

golubcov20062006: В фотомате неправильно
golubcov20062006: *неправильное решение

Ответы

Автор ответа: Universalka
0

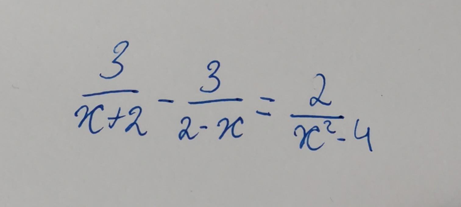
\frac{3}{x+2}-\frac{3}{2-x}=\frac{2}{x^{2}-4 }\\\\\frac{3}{x+2}+\frac{3}{x-2}-\frac{2}{(x+2)(x-2)}=0\\\\\frac{3*(x-2)+3*(x+2)-2}{(x+2)(x-2)}=0\\\\\frac{3x-6+3x+6-2}{(x+2)(x-2)}=0\\\\\frac{6x-2}{(x+2)(x-2)}=0\\\\6x-2=0 ; \ x\neq-2 \ ,  \ x\neq2\\\\6x=2\\\\x=\boxed{\frac{1}{3}}


golubcov20062006: я же сказал что в фотомаф не то решение
Universalka: Причём здесь фотомач ?
golubcov20062006: а то что там абсолютно такое же решение )
Похожие вопросы