Предмет: Алгебра,
автор: alice45617
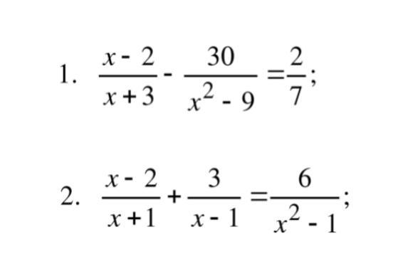
Очень срочно! помогите решить уравнение
если можно на листике
заранее просто огромное вам спасибо!)
Приложения:
Ответы
Автор ответа:
1
Ответ:
Решение прикреплено. Надеюсь, что всё понятно.
Приложения:
alice45617:
спасибо большое!
Похожие вопросы
Предмет: Математика,
автор: 89371229072393I
Предмет: Английский язык,
автор: chevroletlanos
Предмет: Английский язык,
автор: красавчик99
Предмет: Математика,
автор: гульнаранагайбекова