Предмет: Математика,
автор: nutyfruty33
даю 15 баллов если решите
Приложения:
Ответы
Автор ответа:
0
Ответ:
решение на фотографии
Приложения:
Автор ответа:
0
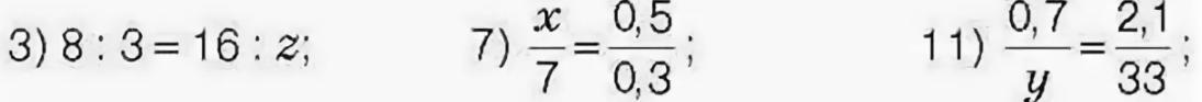
1)8:3=16:z
8z=48
z=6
2)x/7 =0,5/0,3
x/7=1/2/0,3
x/7=1/2/3/10
x/7=5/3
3x=35
x=35/3
x=11 2/3
3)0,7/y=2,1/33
7/10/y=2,1/33
7/10/y=21/10/33
7/10y=21/10/33
7/10y=7/110
10y=110
y=11
:)
8z=48
z=6
2)x/7 =0,5/0,3
x/7=1/2/0,3
x/7=1/2/3/10
x/7=5/3
3x=35
x=35/3
x=11 2/3
3)0,7/y=2,1/33
7/10/y=2,1/33
7/10/y=21/10/33
7/10y=21/10/33
7/10y=7/110
10y=110
y=11
:)
Похожие вопросы
Предмет: Алгебра,
автор: leylakaryawinx
Предмет: Математика,
автор: alina030412
Предмет: Математика,
автор: malinaS1488
Предмет: География,
автор: kivivkysnaca
Предмет: Математика,
автор: 32199