Предмет: Алгебра,
автор: Аноним
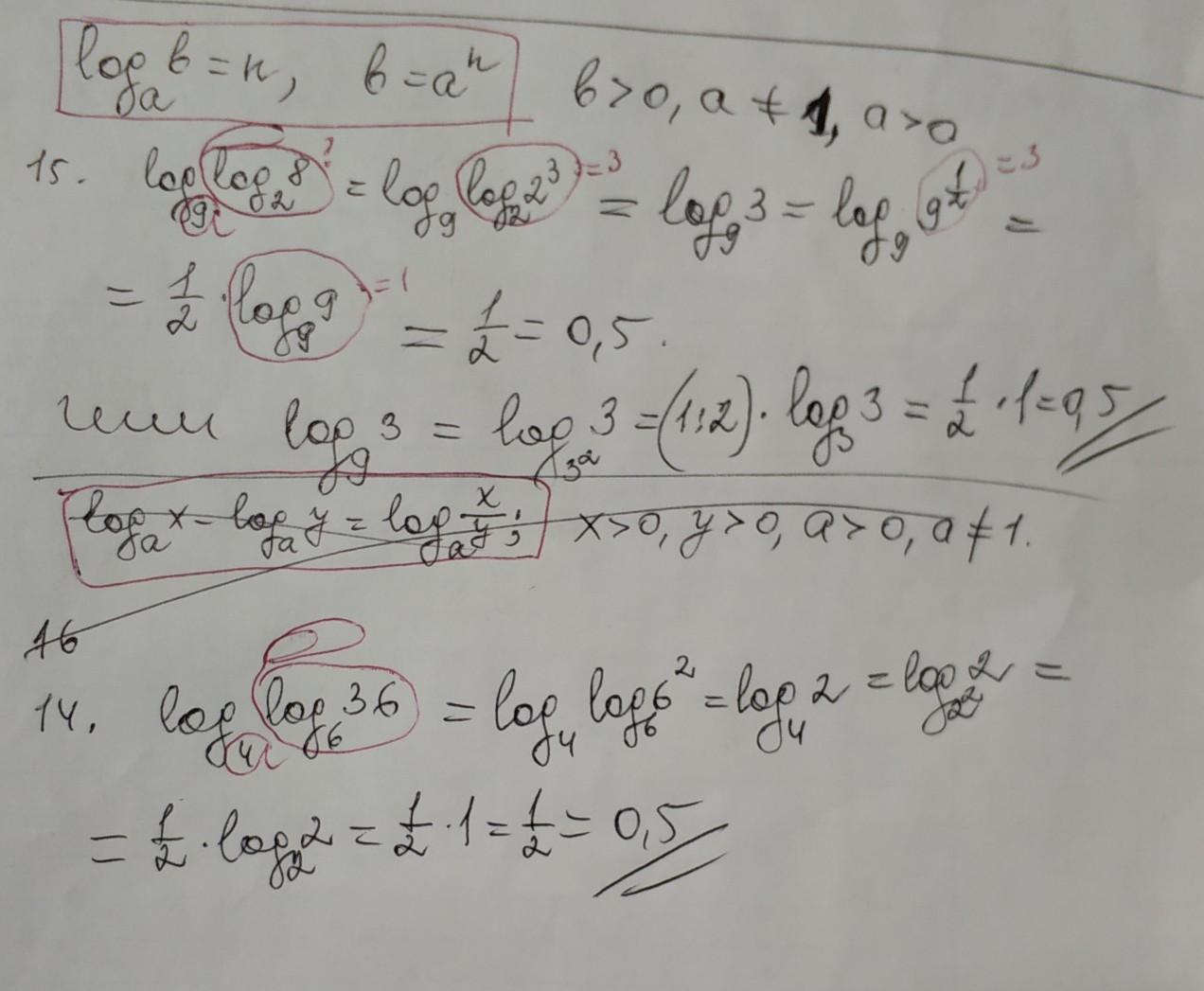
как это решать? есть какое-нибудь свойство или формула? помогите плиз, решите плиз. ТОЛЬКО 14 И 15!!!!
Приложения:
Ответы
Автор ответа:
0
Ответ:
14). = 0,5
15). =0,5
Объяснение:
решение во вложении
Приложения:
kirichekov:
здравствуйте, я же не все время "сижу" на этом сайте. не видела ваших сообщений. помогу, конечно
Похожие вопросы
Предмет: Математика,
автор: Еденорожечек
Предмет: Обществознание,
автор: sizgunovo
Предмет: География,
автор: Крей
Предмет: Алгебра,
автор: zina3636