Предмет: Математика,
автор: Coke9
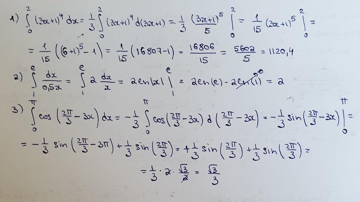
Вычислите интеграл за 15 баллов
Приложения:
Ответы
Автор ответа:
1
Ответ:
решение на фотографии.
Приложения:
Coke9:
Miroslava227 можешь еще и эту решить?
https://znanija.com/task/42310733
Похожие вопросы
Предмет: Русский язык,
автор: RomaOkean
Предмет: Алгебра,
автор: sidorova23
Предмет: Математика,
автор: lapunika
Предмет: Қазақ тiлi,
автор: данил2184
Предмет: Геометрия,
автор: мила658