Предмет: Алгебра,
автор: ChristinkaSmile
3 и 5 уравнение. Срочно нужно!
Приложения:
Ответы
Автор ответа:
0
в 3
x*7^(x)=49*7^x сокращаем 7^x
x=49
в 5 ОДз 2x-3>0 x>2/3
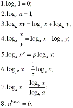
по свойствам логарифмов(приложение номер 8)
2x-3=14
x=8,5 входит в ОДЗ
x*7^(x)=49*7^x сокращаем 7^x
x=49
в 5 ОДз 2x-3>0 x>2/3
по свойствам логарифмов(приложение номер 8)
2x-3=14
x=8,5 входит в ОДЗ
Приложения:
Похожие вопросы
Предмет: Английский язык,
автор: Аноним
Предмет: Математика,
автор: Аноним
Предмет: Алгебра,
автор: Аноним
Предмет: Алгебра,
автор: папайя
Предмет: Математика,
автор: rex377