Предмет: Алгебра,
автор: sabi0000
Срочно!
Помогите пожалуйста!
Приложения:
Ответы
Автор ответа:
1
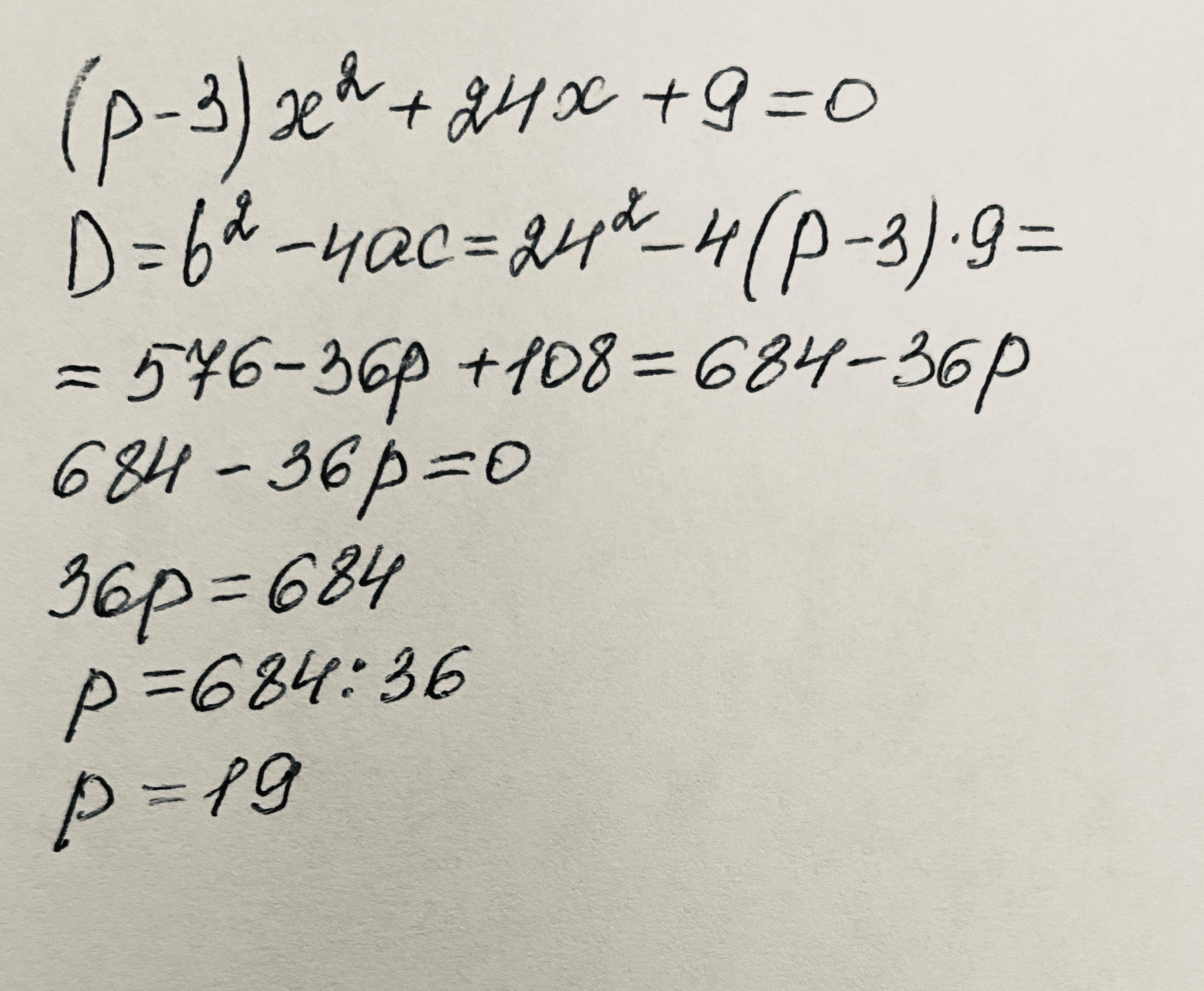
Ответ: р=19
Объяснение: на фото
Приложения:
Похожие вопросы
Предмет: Русский язык,
автор: carkvamrj
Предмет: Математика,
автор: kristinaschego
Предмет: Алгебра,
автор: angelssin
Предмет: История,
автор: AZ1234567
Предмет: Геометрия,
автор: пупсик123342