Предмет: Математика, автор: karimand03

Помогите найти функцию

Приложения:

Ответы

Автор ответа: Miroslava227
2

Ответ:

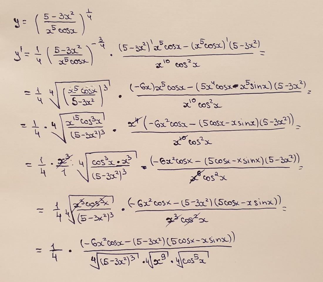
решение на фотографиях

Приложения:
Автор ответа: pushpull
1

Ответ:

Пошаговое объяснение:

\displaystyle \frac{df}{dx} =(cos^2(4x))' = (cos^2(4x))' *(cos(4x))'*(4x)' = \\\\=2cos(4x)*(-sin(4x))*4= -8cos(4x)sin(4x)

\displaystyle \frac{d^2f}{dx^2} =(-8cos(4x)sin(4x) )'=-8\bigg ((cos(4x))'sin(4x)+cos(4x)*(sin(4x))' \bigg )=

= -8 \bigg (-4sin(4x)sin(4x) +4cos(4x)cos(4x) \bigg )= 32\bigg (sin^2(4x)-cos^2(4x) \bigg )

Похожие вопросы
Предмет: Английский язык, автор: zembrotta