Предмет: Математика,
автор: maksgorbunov
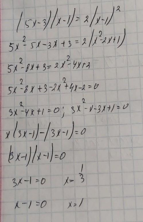
Решите уравнение: (5x – 3)(x – 1) = 2(x – 1)^2
Ответы
Автор ответа:
0
Ответ:
Ответ смотри во вложении
Приложения:
Похожие вопросы
Предмет: Математика,
автор: лёля324
Предмет: Английский язык,
автор: vasilenkovadash1
Предмет: Математика,
автор: Hamzabek1234
Предмет: Другие предметы,
автор: suleimenovazha1