Предмет: Алгебра, автор: Aksanbasdad

Помогите пожалуйста срочно

Приложения:

Ответы

Автор ответа: rexzyyy
0

Ответ:

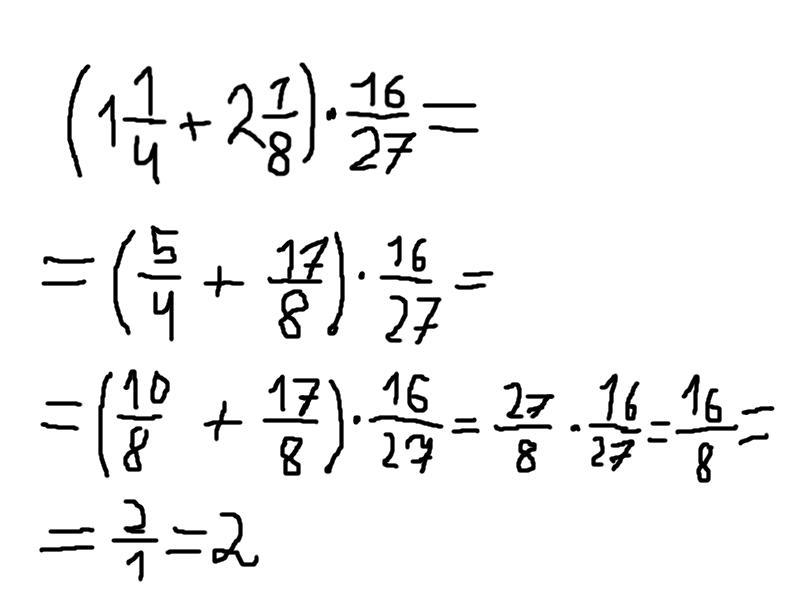
2

Объяснение:

(1\frac{1}{4} + 2\frac{1}{8} ) * \frac{16}{27} = ((1+2)+(\frac{1}{4} + \frac{1}{8}))*\frac{16}{27} = (3+(\frac{1}{4} + \frac{1}{8}))*\frac{16}{27} = (3+\frac{3}{8})*\frac{16}{27} = 3\frac{3}{8} * \frac{16}{27} = \frac{27}{8} * \frac{16}{27} = \frac{1}{8} * 16 = 1*2= 2

Автор ответа: sdfdsfsdfa
0

Ответ: 2

Объяснение: фышврфышвгрфыг

Приложения:
Похожие вопросы