Предмет: Математика,
автор: olechka0384
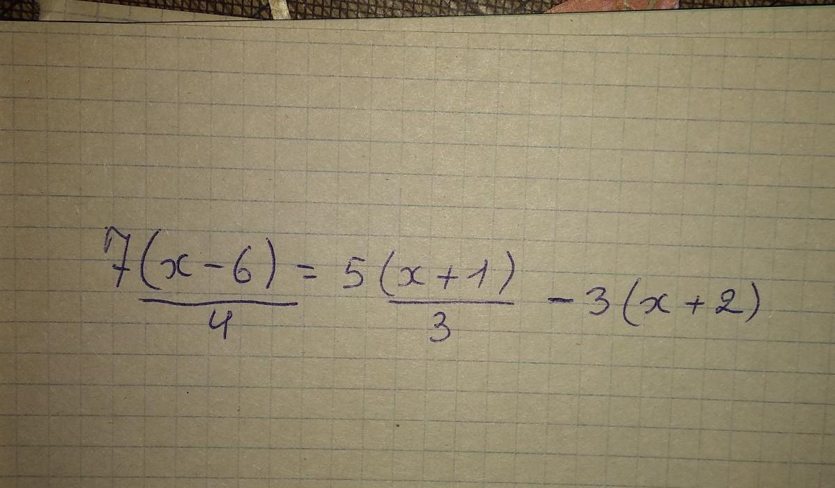
решите уравнение пожалуйста помогите!
Приложения:
Ответы
Автор ответа:
1
Ответ:
Пошаговое объяснение:
Приложения:
olechka0384:
спасибо большое)))
На здоровье))
Похожие вопросы
Предмет: Қазақ тiлi,
автор: elizavetaelchisheva
Предмет: Геометрия,
автор: belkovan
Предмет: Другие предметы,
автор: Аноним
Предмет: Математика,
автор: alefffffff