Предмет: Геометрия,
автор: tikitoki30
Срочно, помогите с заданиями.
Приложения:
Ответы
Автор ответа:
1
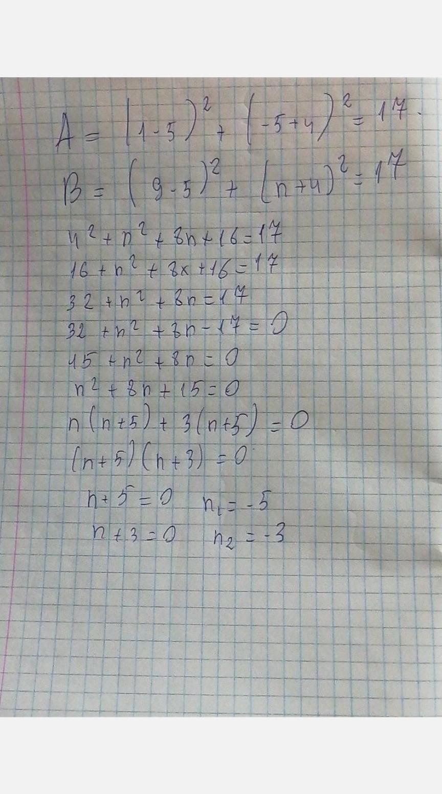
Ответ:
я смогла написать только первые две
Приложения:
tikitoki30:
У Вас правильно, спасибо за то, что помогли с большим количеством заданий. Там где 2 корня n, верным в ответе будет -3.
если ввести минус пять ответ будет тот-же но это уже ваше дело. рада была помочь
Похожие вопросы
Предмет: Русский язык,
автор: Bogdaha50
Предмет: Математика,
автор: qqsdad
Предмет: Литература,
автор: БОЛобол
Предмет: Математика,
автор: СпартакСергеев