Предмет: Алгебра,
автор: hdhdhd75
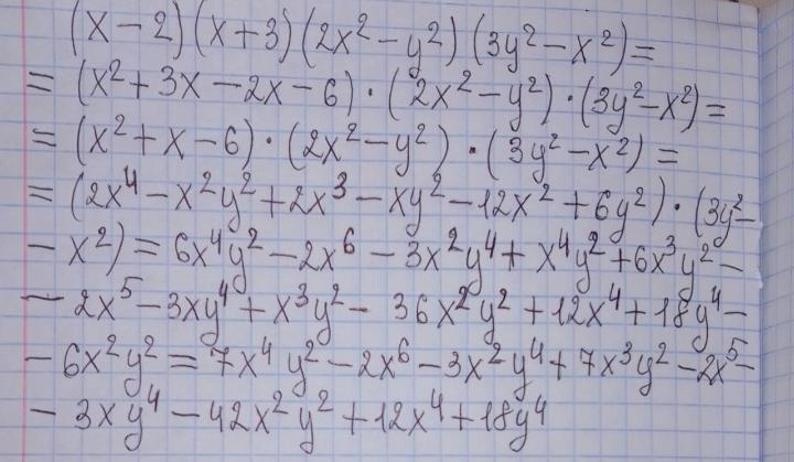
Упростите выражение
(X-2)(x+3)
(2x^2-y^2)(3y^2-x^2)
Ответы
Автор ответа:
1
ответ дан на картинке
Приложения:
Похожие вопросы
Предмет: Английский язык,
автор: Kotecolnce
Предмет: Математика,
автор: natali46691
Предмет: Математика,
автор: Iruliask
Предмет: Математика,
автор: Flyight
Предмет: Беларуская мова,
автор: inessa2006