Предмет: Алгебра, автор: abdusalamovbasir10

Помогите срочно пожалуйста ​

Приложения:

Ответы

Автор ответа: taisasnitko
1

Ответ:

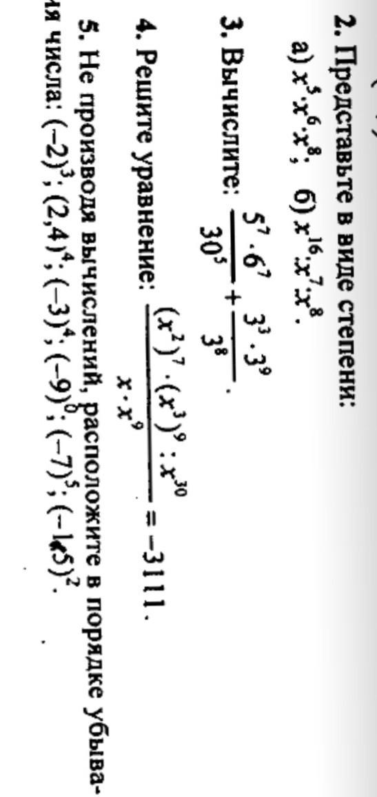
Объяснение:2.a)=x⁵⁺⁶⁺⁸=x¹⁹;  б)=x¹⁶⁻⁷⁻⁸=x.

3. =30⁷/30⁵ + 3¹²/3⁸=30²+3⁴=900+81=981.

4. x¹⁴·x²⁷:x³⁰:x¹⁰= -3111;

x¹⁴⁺²⁷⁻³⁰⁻¹⁰=3111;

x=-3111.

5. (-3)⁴>(2,4)⁴>(-1,5)²>(-9)⁰>(-2)³>(-7)³.

Похожие вопросы
Предмет: Английский язык, автор: mastakovdenisrp3vfj1

ПОМОГИТЕ ПОЖАЛУЙСТА, срочно надо!!!
ГРАММАТИЧЕСКАЯ ЧАСТЬ

1. His motorbike is already very old, but he doesn’t want to sell _____.
1) her
2) it
3) hers
4) its

2. You know my point of view. Give me ____.
1) yours
2) you
3) your
4) yourself

3. Come ____ the hall!
1) into
2) to
3) from
4) on

4 Do you like to sit ___ the window on the bus?
1) in
2) on
3) by
4) at

5. Their _____ office is at the other end of the passage.
1) directors
2) director’s
3) director
4) directors’s

6. Brussels is _____ capital of Belgium.
1) -
2) a
3) the
4) an

7. Your _____ progress is bigger and bigger.
1) children’s
2) children
3) childrens
4) childrens’s

8. ____ Alps are to the West of Russia.
1) an
2) a
3) -
4) the

9. Your friend drives ____ than you.
1) badder
2) worse
3) more badly
4) worst

10. Who _____ hockey in your class?
1) play
2) are play
3) does play
4) plays

11. John is a very _____ boy.
1) strongest
2) the strongest
3) strong
4) stronger

12. Whose ____ these pens and pencils?
1) are
2) is
3) has
4) -

13. 5.000.000 €
1) five million euros
2) five of million of euros
3) five millions euros
4) five millions of euros

14. 19:30
1) half to eight p.m.
2) half to eight o’clock.
3) half past six p.m.
4) half past seven p.m.

15. I cannot see her ______.
1) nowhere
2) anywhere
3) somewhere
4) everywhere

16. Is there ____ milk left in the glass?
1) some
2) any
3) something
4) every

Текстовая часть
Прочитайте текст и напишите ответьте на вопросы.

Learning foreign languages
Jessica is a second-year student. She studies Law at Moscow University. She has always dreamed of becoming a lawyer as she thinks that to stand for people’s rights is the most rewarding and socially needed occupations in the world. Jessica specializes in International law.
Foreign languages play a very important role in her life. She already knows English quite well as she went to an English school, But she realizes that it’s not enough for an international career. She does everything to get as much practice in it as possible. Every summer she goes to London on her vacations. She has several friends there with whom she chats on the Internet living in Moscow. She plans to participate in a student exchange program next autumn. Jessica also attends English clubs in the centre of Moscow where she meets interesting people to speak to.
Last year she began studying Italian. She learns it for pleasure. Jessica finds in the most beautiful and charming language in the world. She adores Italian songs and knows many of the by heart. Her level is not very high still but it rises gradually. She finds Italian pronunciation easy and grammar logical. Next spring Jessica wants to visit Milan. She knows sense in fashion and appreciates designer clothes. She is also looking forward to going to Italy because she is attracted by its rich and original culture. She has many interests and hobbies but she manages to combine them with studies. Her university is the most important thing for her at this period of life.

1. What does Jessica do in London every summer?
2. What plans does Jessica have?
3. How does Jessica communicate with her English friends?
4. How does Jessica find Italian?
5. Why has Jessica dreamed of becoming a lawyer?
6. How does Jessica practice English?
7. Where did Jessica learn English before?