Предмет: Алгебра, автор: varvara1008

"сократите дробь",помогите пожалуйста...​

Приложения:

Ответы

Автор ответа: Sfoia10
1

Ответ:

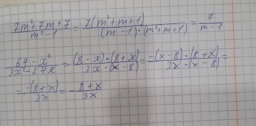
Ответ на фотографии

Объяснение:

Ответ на фотографии

Приложения:
Автор ответа: dacoconutchemist
1

Ответ:

8)\frac{7m^{2}  + 7m + 7}{m^{3} - 1}  = \frac{7(m^{2}  + m + 1)}{\\(m - 1)(m^{2} + m + 1)}  = \frac{7}{m - 1}

9)

\frac{64 - x^{2}}{3x^{2}  - 24x} = \frac{(8 - x)(8 + x)}{3(x - 8)} = \frac{-(8 + x)}{3}

Похожие вопросы
Предмет: Английский язык, автор: Аноним