Предмет: Математика, автор: kolmogorovavaleriya2

343.
1) |x - 1,5 = 4;
2)|3-х|=5;
3) |2x - 3|= 0;
5) x + 1 +5 = 3;
6) x + 5) - 2 = 7.
2) 3 - x) = 5;
4) 6 - 5x1 = 0;
помогите пожайлуста(((​

Приложения:

kamron7777: спасибо

Ответы

Автор ответа: kamron7777
6

Ответ:

x-1,5=4

x=1,5+4

x=5,5

3-x=5

x=3-5

x=-2


kolmogorovavaleriya2: а сё поняла, а то я затупила
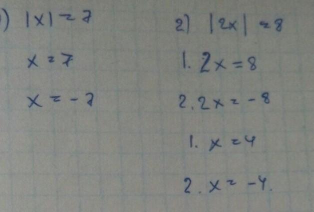
Автор ответа: KakashiHATAKE08
5

ответ в фотографий,думаю помог

Приложения:

kolmogorovavaleriya2: Спасибо ❤
KakashiHATAKE08: незашто
sevnmein: а где 5 6??
Похожие вопросы
Предмет: Алгебра, автор: sasvolkova
Предмет: Математика, автор: pyanoes