Предмет: Алгебра,
автор: ajdanaruslanova502
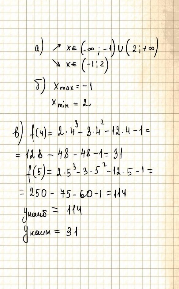
Найдите функцию монотонна интервал f(x)=2x3-3x2 - 12x +7
Ответы
Автор ответа:
1
Объяснение:
1) 2) надеюсь помогла
Приложения:
ajdanaruslanova502:
спасибо очень помогло
Похожие вопросы
Предмет: Алгебра,
автор: usikovaanna
Предмет: Обществознание,
автор: кэтилалети
Предмет: Физика,
автор: irsavkova
Предмет: Математика,
автор: Room07
Предмет: Биология,
автор: mercy1234