Предмет: Математика,
автор: smorodinkalolp0t266
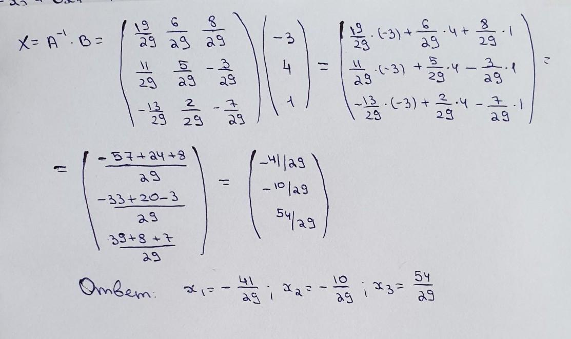
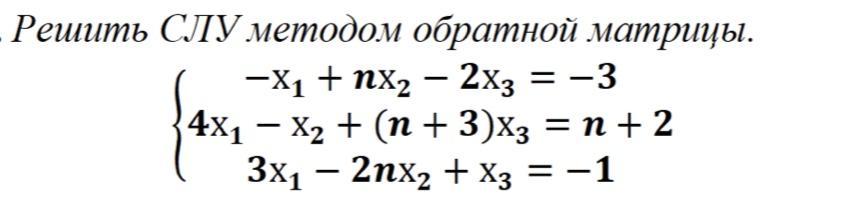
Решить СЛУ методом обратной матрицы
Спам будет удалён, пишите решение
Приложения:
smorodinkalolp0t266:
Вместо н подставить 2
Ответы
Автор ответа:
3
Ответ:
решение на фотографиях
Приложения:
Спасибо огромное!!
Похожие вопросы
Предмет: Математика,
автор: azeraaa
Предмет: Обществознание,
автор: ShiroFan
Предмет: Математика,
автор: muhametsali
Предмет: Химия,
автор: Akira2002
Предмет: Алгебра,
автор: safoshkinmax