Предмет: Алгебра,
автор: sulgadarina54
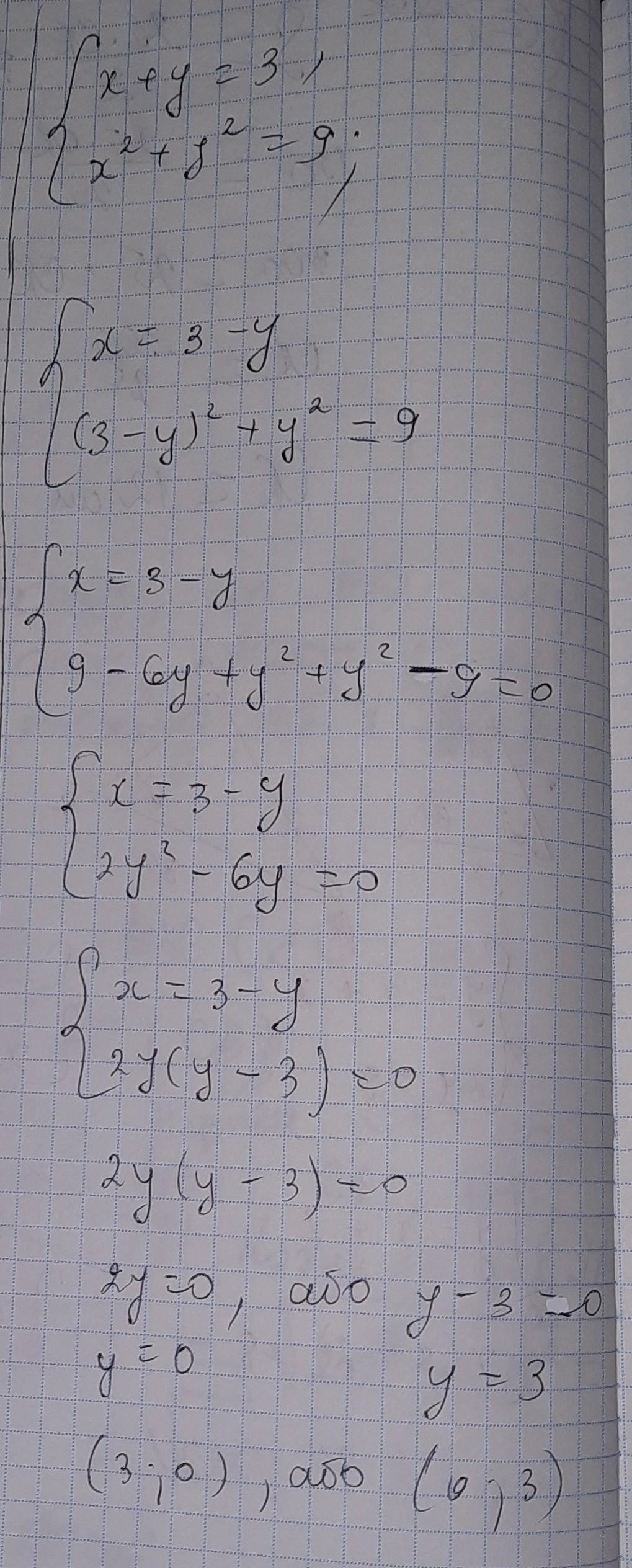
СРОЧНО Розв'яжіть графічно систему рівнянь {y=x+2
xy=8 і {x+y=3, x²+y²=9
тільки будь ласка не з інтернету тому що мені потрібне повне розв'язання
Ответы
Автор ответа:
1
Объяснение:
1,2 фотогрія перше рівняння
3,4 - друге
Приложения:
Похожие вопросы
Предмет: Математика,
автор: madamoksanaru
Предмет: География,
автор: PolinaGreen
Предмет: Русский язык,
автор: sokolina91
Предмет: Математика,
автор: Zazej
Предмет: Математика,
автор: lovegirl3