Предмет: Алгебра,
автор: plvclcavatop
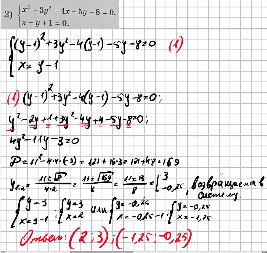
Решите пожалуйсто нужно срочно, если можете то в тетраде
Приложения:
Ответы
Автор ответа:
1
Объяснение:
--------------------------------------
Приложения:
Похожие вопросы
Предмет: Химия,
автор: Аноним
Предмет: Русский язык,
автор: verholancev199
Предмет: Литература,
автор: abaiymgul
Предмет: Математика,
автор: limonov06
Предмет: Алгебра,
автор: masrurii03