Предмет: Геометрия,
автор: hommaaa
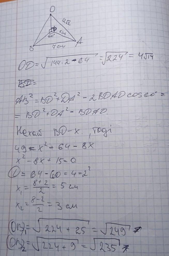
Із точки до площини проведено дві похилі до неї. Довжина
однієї з них дорівнює 12√2 см, а довжина її проекції — 8 см. Кут
між проекціями похилих дорівнює 60°, а довжина відрізка, що
сполучає основи похилих, дорівнює 7 см. Знайдіть довжину
другої похилої.
Ответы
Автор ответа:
6
Ответ:
сделай мой ответ лучшим,плиз
Приложения:
Похожие вопросы
Предмет: Русский язык,
автор: DIMA14082002
Предмет: Математика,
автор: muhsinodiljonov
Предмет: Английский язык,
автор: SofiaVaria
Предмет: Литература,
автор: NatashaKim090808
Предмет: Музыка,
автор: GinViNew1