Предмет: Математика, автор: lolkekasan

ПОМОГИТЕ ПЖ ДАМ 15 БАЛОВ

Приложения:

Kakgdekto: Ответ:

Пошаговое объяснение:

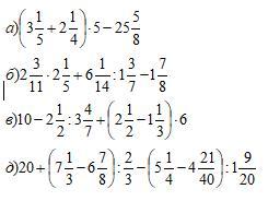
а) 1 целая 5/8

б) 7 целых 3/8

в) 16 целых 3/10

д) 20 целых 3/16

Надеюсь помог:)
Kakgdekto: Это если реклама есть
lolkekasan: спасибо
Kakgdekto: Незачто обращайся:)

Ответы

Автор ответа: Kakgdekto
3

Ответ:

Пошаговое объяснение:

а) 1 целая 5/8

б) 7 целых 3/8

в) 16 целых 3/10

д) 20 целых 3/16

Надеюсь помог:)


lolkekasan: Спасибо
Похожие вопросы
Предмет: Алгебра, автор: Fakep141
Предмет: Математика, автор: 90023
Предмет: Математика, автор: YanaTimoshenko10