Предмет: Алгебра,
автор: supervwyx
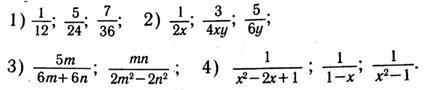
Приведите к общему знаменателю дроби:
Приложения:
Ответы
Автор ответа:
0
Ответ:
1)1/12 до множить на 3; 5/24 на 2; 7/36 на 1 или просто не домножать и получается 3+10+7/36=20/36=5/9
2)1/2х на 6у; 3/4ху на 3; 5/6у на 2х
получается х+9+10х/12ху
3) 1 просто домножаем на m в квадрате и n в квадрате; это домножаем на 3 что получится сами посчитаете
4) это формула квадрат разности (х-1) в квадрате до множим на (х+1); -(х-1) до множим на (х-1) и (х+1); это разность квадратов и просто домножим на (х-1)
Объяснение: надеюсь я правильно понял задание
supervwyx:
можно все таки пожалуйста решения к 3 и 4? мне очень срочно надо
Похожие вопросы
Предмет: Математика,
автор: katem1
Предмет: Русский язык,
автор: ristal1
Предмет: Русский язык,
автор: a1a2a3a4a5a
Предмет: Физика,
автор: Goodhoho
Предмет: Литература,
автор: natam2